Formation professionnelle
Chaque saison, l’Atelier de Paris / CDCN permet à des professionnel·les du monde entier de suivre une formation continue de haut niveau dispensée par des artistes parmi les plus important·es de la scène nationale et internationale.
Durant une semaine, les participant·es aux masterclasses découvrent l’univers d’un·e artiste, expérimentent les concepts qui lui sont propres, partagent son processus de création.
La formation est accessible aux personnes en situation de handicap. Si vous êtes concerné·e ou que vous souhaitez nous faire part d’autres spécificités, merci de nous contacter pour un accompagnement personnalisé : masterclasses@atelierdeparis.org
Il est possible de demander un financement pour votre formation. Pour toute question, veuillez consulter en premier lieu la FAQ en bas de cette page.
Masterclasses et formations
→ Formulaire d’inscription
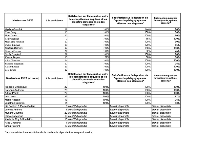
Le planning des masterclasses et formations de la saison 2025-2026 est en ligne !
Gisèle Vienne
Week-end masterclass Gisèle Vienne28 et 29 mars 2026 | COMPLET
Cecily Campbell - Trisha Brown Dance Company
Masterclass Cecily Campbell26 au 30 avril 2026
François Chaignaud
Week-end masterclass François Chaignaud27 et 28 septembre 2025 | COMPLET
Katerina Andreou
Masterclass Katerina Andreou29 septembre au 2 octobre 2025 | COMPLET
Arthur Perole
Masterclass Arthur Perole13 au 17 octobre 2025 | COMPLET
Claire Jenny
De l’art chorégraphique à l’innovation de projets d’Éducation artistique et culturelle · Module 120 au 23 octobre 2025
Liz Santoro et Pierre Godard
Masterclass Liz Santoro et Pierre Godard8 au 12 décembre 2025
Jérôme Andrieu
Masterclass Jérôme Andrieu – Compagnie K62215 au 19 décembre 2025
Claire Jenny
De l’art chorégraphique à l’innovation de projets d’Éducation artistique et culturelle · Module 216 et 17 janvier 2026
Myriam Gourfink
Masterclass Myriam Gourfink19 au 23 janvier 2026 | COMPLET
Xavier Le Roy et Scarlet Yu
Masterclass Xavier Le Roy et Scarlet Yu9 au 13 février 2026
Carolyn Carlson avec Sara Orselli et John Boswell
Masterclass Carolyn Carlson2 au 7 mars 2026

Clément Carre débute la danse par la pratique du hip-hop à l’âge de 8 ans. En 2018, après l’obtention d’un Master en Finance à l’Université Paris Dauphine, il ressent le besoin de s’engager pleinement dans le milieu de la danse contemporaine. Il se forme professionnellement à Coline, où il goûte au savoir de la pédagogie de Shlomi Tuizer, et y interprète un large répertoire. Il intègre ensuite les créations de plusieurs compagnies et continue son travail d’interprète au côté d’Hervé Robbe, Perrine Valli, Jeanne Brouaye, Emeline Nguyen et Olé Khamchanla. Ce parcours singulier lui a permis d’acquérir une maturité certaine et d’étoffer son ouverture sur différentes écritures chorégraphiques. Ce sont autant d’expériences et de rencontres que d’outils d’exploration, de questionnements et de recherches sur lesquels il s’appuie pour nourrir le plaisir qu’il a de s’exprimer par le corps. Récemment il se lance dans une démarche créative autour d’une performance hybride, mêlant peinture, corps et musique et souhaite développer ce travail dans des milieux alternatifs.
Hélène Guilguet est danseuse interprète et chorégraphe, et travaille entre Paris, Bruxelles et Toulouse. Après des études en sciences sociales et en urbanisme, elle rejoint la formation Extensions au CDCN-La Place de la Danse à Toulouse où elle découvre le travail de nombreux·ses chorégraphes (Aina Alegre, Lorenzo de Angelis, Volmir Cordeiro).




